Γενικά
Αδειάζει ο άτυπος καταυλισμός στο βενζινάδικο του Πολυκάστρου
Περισσότεροι από 1800 άνθρωποι που βρίσκονται στον καταυλισμό μετακινούνται προς κέντρα φιλοξενίας.

Άρχισε λίγο πριν από τις 07:30, η επιχείρηση της αστυνομίας για την εκκένωση του άτυπου καταυλισμού προσφύγων και μεταναστών στο γνωστό βενζινάδικο στην ΠΑΘΕ, στο ύψος του Πολυκάστρου.
Από την πρώτη στιγμή εκκένωσης της Ειδομένης είχαν γίνει γνωστά τα σχέδια απομάκρυνσης προσφύγων και μεταναστών και από τους τρεις άτυπους καταυλισμούς (τα δύο βενζινάδικα και το ξενοδοχείο) στην ευρύτερη περιοχή.
Διμοιρίες των ΜΑΤ αναπτύχθηκαν από το πρωί στην περιοχή προκειμένου να συνοδεύσουν πρόσφυγες και μετανάστες στα πούλμαν που θα τους μεταφέρουν σε οργανωμένες δομές φιλοξενίας.
Στην επιχείρηση παίρνουν μέρος περίπου 300 αστυνομικοί από διάφορες υπηρεσίες της Βόρειας Ελλάδας, ενώ ξεκαθαρίζεται ότι ο σχεδιασμός της ΕΛ.ΑΣ. δεν προβλέπει τη χρήση βίας.
Στις 11 το πρωί περίπου αναχώρησαν τα πρώτα τέσσερα λεωφορεία με 166 Σύρους πρόσφυγες από τον άτυπο καταυλισμό στο γνωστό βενζινάδικο στην ΠΑΘΕ, στο ύψος του Πολυκάστρου. Σύμφωνα με αστυνομικές πηγές, τα λεωφορεία κατευθύνονται προς το κέντρο φιλοξενίας στα Βασιλικά.
Πριν από λίγο αναχώρησαν άλλα τέσσερα λεωφορεία με 147 Σύρους πρόσφυγες, που έχουν προορισμό το κέντρο φιλοξενίας στα Βασιλικά.
Νωρίτερα είχαν αναχωρήσει άλλα συνολικά δέκα λεωφορεία με 423 άτομα, εκ των οποίων οι 58 Ιρακινοί και οι υπόλοιποι Σύροι με προορισμό επίσης τα Βασιλικά.
Στο μεταξύ, σε 34 προσαγωγές ξένων αλληλέγγυων προχώρησε η αστυνομία, στο πλαίσιο της επιχείρησης, αλλά έχουν ήδη αφεθεί ελεύθεροι.
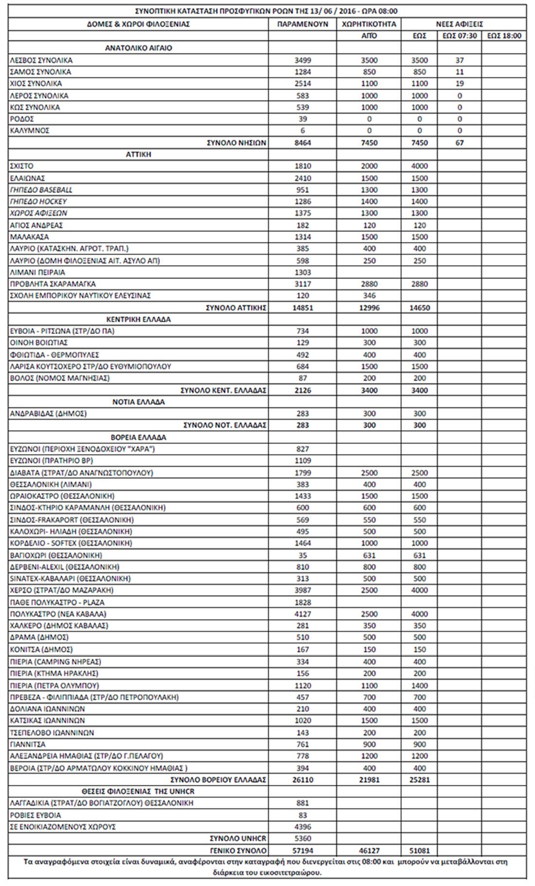
Βάσει των στοιχείων που δόθηκαν χθες στη δημοσιότητα, από τα αρμόδια κυβερνητικά όργανα, για τις προσφυγικές ροές στην Ελλάδα, στον συγκεκριμένο άτυπο καταυλισμό βρίσκονται 1.828 άτομα.
Η επιχείρηση αναμένεται να συνεχιστεί και αύριο, με επίκεντρο το άλλο βενζινάδικο που βρίσκεται σε μικρή απόσταση από τα σύνορα, όπου βρίσκονται -σύμφωνα πάντα με τα ίδια στοιχεία- 1.109 πρόσφυγες και μετανάστες και το ξενοδοχείο στη στροφή για Ευζώνους (827 άτομα).
Σύμφωνα με τα σημερινά στοιχεία του Συντονιστικό για την προσφυγική κρίση το τελευταίο 24ωρο έφτασαν στην Ελλάδα 67 πρόσφυγες και μετανάστες ενω στα νησιά του Αιγαίου βρίσκονται 8464 άνθρωποι.
