Γενικά
Ξεπέρασε το όριο συναγερμού το όζον στην Αθήνα
Οδηγίες προφύλαξης του πληθυσμού εξέδωσε το Υπουργείο Υγείας.

"Ασφυξία στην Αθήνα.
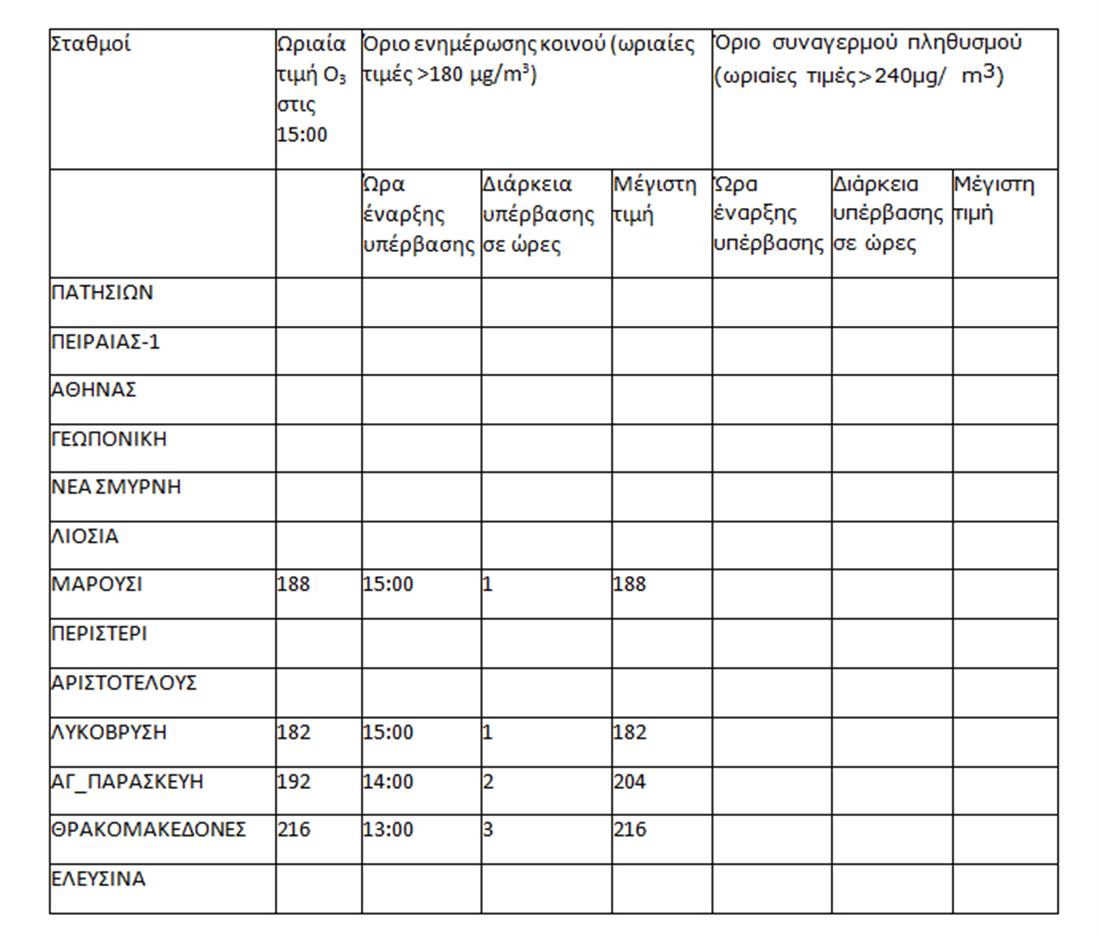
Σύμφωνα με τις μετρήσεις του Δικτύου Παρακολούθησης Ατμοσφαιρικής Ρύπανσης της Αθήνας, υπήρξε υπέρβαση του ορίου ενημέρωσης (180 μg/m3) για το όζον, όπως ενημέρωσε το Υπουργείο Περιβάλλοντος και Ενέργειας
Για το λόγο αυτό από το Υπουργείο Υγείας παρέχονται οι ακόλουθες οδηγίες για την προφύλαξη του πληθυσμού:
«Άτομα με αναπνευστικές και καρδιαγγειακές παθήσεις και γενικότερα άτομα ευαίσθητα στην ατμοσφαιρική ρύπανση συνιστάται να παραμένουν σε εσωτερικούς χώρους και να αποφεύγουν την κυκλοφορία στο εξωτερικό περιβάλλον. Επίσης συνιστάται στα παραπάνω άτομα, καθώς και τα παιδιά να αποφεύγουν την έντονη σωματική άσκηση, η οποία μπορεί να προκαλέσει ερεθισμό της αναπνευστικής οδού και να οδηγήσει σε αναπνευστικά προβλήματα».
Μέχρι τις 15:00 σημειώθηκαν οι εξής υπερβάσεις:

Η μείωση των τιμών όζοντος αναμένεται αργά το απόγευμα.
Ακολουθήστε το antenna.gr στο Google News και μάθετε πρώτοι όλες τις ειδήσεις!